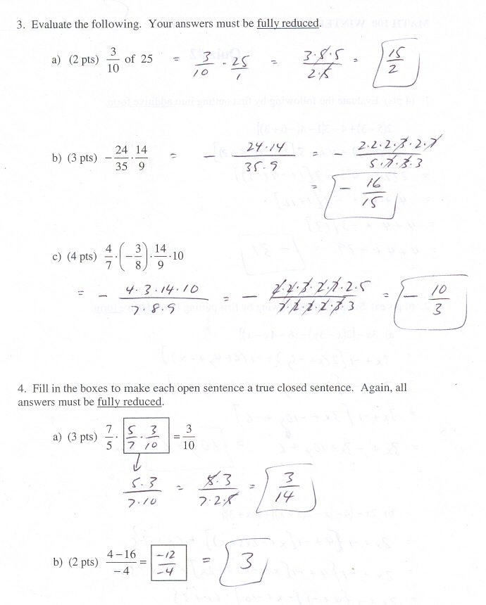
QUIZ#2 SOLUTIONS

RETURN TO MAIN PAGE

RETURN TO MAIN PAGE