Clawpack Documentation


Version 5.0 --- Under Construction! Not yet accurate

Table Of Contents

Previous topic

Pyclaw Limiters

Next topic

Pyclaw Solver Base Classes

This Page

Riemann Solver Package

This package contains all of the Riemann solvers provided with pyclaw. Each module solves a particular type of Riemann solver listed below with but have common function signatures that look like:

rp_<name>_<dim>d(q_l,q_r,aux_l,aux_r,aux_global)

with <name> replaced with the appropriate solver name and <dim> with the appropriate dimension.

Input:
  • q_l - (ndarray(...,meqn)) Contains the left states of the Riemann problem

  • q_r - (ndarray(...,meqn)) Contains the right states of the Riemann problem

  • aux_l - (ndarray(...,maux)) Contains the left values of the auxiliary array

  • aux_r - (ndarray(...,maux)) Contains the right values oft he auxiliary array

  • aux_global - (dict) Dictionary containing miscellaneous data which is

    usually problem dependent.

Output:
  • wave - (ndarray(...,meqn,mwaves)) Contains the resulting waves from the cell

    edge

  • s - (ndarray(...,mwaves)) Speeds of each wave

  • amdq - (ndarray(...,meqn)) Left going fluctuation

  • apdq - (ndarray(...,meqn)) Right going fluctuation

All of the input and output values are arrays except for aux_global which are located according to the following scheme

Indexing works like this:  here mbc=2 as an example
 0     1     2     3     4     mx+mbc-2     mx+mbc      mx+mbc+2
             |                        mx+mbc-1 |  mx+mbc+1
 |     |     |     |     |   ...   |     |     |     |     |
    0     1  |  2     3            mx+mbc-2    |mx+mbc
                                          mx+mbc-1   mx+mbc+1

The top indices represent the values that are located on the grid
cell boundaries such as waves, s and other Riemann problem values,
the bottom for the cell centered values.  In particular the ith grid cell
boundary has the following related information:
                  i-1         i         i+1
                   |          |          |
                   |   i-1    |     i    |
                   |          |          |
Again, grid cell boundary quantities are at the top, cell centered
values are in the cell.

The arrays q_l[i], q_r are the left and right state respectively of the ith Riemann problem. All of the return values are also indexed by cell edge (Riemann problem being solved).

See [LeVeque_book_2002] for more details.

List of available Riemann solvers:

Acoustics

Riemann solvers for constant coefficient acoustics.

q_t + A q_x = 0

where

q(x,t) = \left [ \begin{array}{c} p(x,t) \\ u(x,t) \end{array} \right ]

and the coefficient matrix is

A = \left [\begin{matrix}
0      & K\\
1/\rho & 0 
\end{matrix} \right ]

The parameters \rho = density and K = bulk modulus are used to calculate the impedence = Z and speed of sound = c.

Authors:Kyle T. Mandli (2009-02-03): Initial version
pyclaw.evolve.rp.rp_acoustics.rp_acoustics_1d(q_l, q_r, aux_l, aux_r, aux_global)

Basic 1d acoustics riemann solver

aux_global is expected to contain -
  • zz - (float) Impedence
  • cc - (float) Speed of sound

See Riemann Solver Package for more details.

Version :1.0 (2009-02-03)

Advection

Simple advection Riemann solvers

Basic advection Riemann solvers of the form (1d)

q_t + A q_x = 0.

Authors:Kyle T. Mandli (2008-2-20): Initial version
pyclaw.evolve.rp.rp_advection.rp_advection_1d(q_l, q_r, aux_l, aux_r, aux_global)

Basic 1d advection riemann solver

aux_global should contain -
  • u - (float) Determines advection speed

See Riemann Solver Package for more details.

Version :1.0 (2008-2-20)

Burgers Equation

Riemann solvers for Burgers equation

u_t + \left ( \frac{1}{2} u^2 \right)_x = 0

Authors:Kyle T. Mandli (2009-2-4): Initial version
pyclaw.evolve.rp.rp_burgers.rp_burgers_1d(q_l, q_r, aux_l, aux_r, aux_global)

Riemann solver for Burgers equation in 1d

aux_global should contain -
  • efix - (bool) Whether a entropy fix should be used, if not present, false is assumed

See Riemann Solver Package for more details.

Version :1.0 (2009-2-4)

Euler Equations

Riemann solvers for the Euler equations

This module contains Riemann solvers for the Euler equations which have the form (in 1d):

q_t + f(q)_x = 0

where

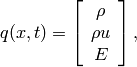
q(x,t) = \left [ \begin{array}{c} \rho \\ \rho u \\ E \end{array} \right ],

the flux function is

f(q) = \left [ \begin{array}{c} \rho u \\ \rho u^2 + p \\ u(E+p) \end{array}\right ].

and \rho is the density, u the velocity, E is the energy and p is the pressure.

Unless otherwise noted, the ideal gas equation of state is used:

E = (\gamma - 1) \left (E - \frac{1}{2}\rho u^2 \right)

Authors:Kyle T. Mandli (2009-06-26): Initial version
pyclaw.evolve.rp.rp_euler.rp_euler_roe_1d(q_l, q_r, aux_l, aux_r, aux_global)

Roe Euler solver in 1d

aug_global should contain -
  • gamma - (float) Ratio of the heat capacities
  • gamma1 - (float) 1 - \gamma
  • efix - (bool) Whether to use an entropy fix or not

See Riemann Solver Package for more details.

Version :1.0 (2009-6-26)

Shallow Water Equations

Riemann solvers for the shallow water equations.

The available solvers are:
  • Roe - Use Roe averages to caluclate the solution to the Riemann problem

  • HLL - Use a HLL solver

  • Exact - Use a newton iteration to calculate the exact solution to the

    Riemann problem

q_t + f(q)_x = 0

where

q(x,t) = \left [ \begin{array}{c} h \\ h u \end{array} \right ],

the flux function is

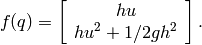
f(q) = \left [ \begin{array}{c} h u \\ hu^2 + 1/2 g h^2 \end{array}\right ].

and h is the water column height, u the velocity and g is the gravitational acceleration.

Authors:Kyle T. Mandli (2009-02-05): Initial version
pyclaw.evolve.rp.rp_shallow.rp_shallow_exact_1d(q_l, q_r, aux_l, aux_r, aux_global)

Exact shallow water Riemann solver

Warning

This solver has not been implemented.

pyclaw.evolve.rp.rp_shallow.rp_shallow_hll_1d(q_l, q_r, aux_l, aux_r, aux_global)

HLL shallow water solver

W_1 = Q_hat - Q_l    s_1 = min(u_l-c_l,u_l+c_l,lambda_roe_1,lambda_roe_2)
W_2 = Q_r - Q_hat    s_2 = max(u_r-c_r,u_r+c_r,lambda_roe_1,lambda_roe_2)

Q_hat = ( f(q_r) - f(q_l) - s_2 * q_r + s_1 * q_l ) / (s_1 - s_2)
aux_global should contain:
  • g - (float) Gravitational constant
Version :1.0 (2009-02-05)
pyclaw.evolve.rp.rp_shallow.rp_shallow_roe_1d(q_l, q_r, aux_l, aux_r, aux_global)

Roe shallow water solver in 1d:

ubar = (sqrt(u_l) + sqrt(u_r)) / (sqrt(h_l) + sqrt(h_r))
cbar = sqrt( 0.5 * g * (h_l + h_r))
 
W_1 = |      1      |  s_1 = ubar - cbar
      | ubar - cbar |
 
W_2 = |      1      |  s_1 = ubar + cbar
      | ubar + cbar |
  
a1 = 0.5 * ( - delta_hu + (ubar + cbar) * delta_h ) / cbar
a2 = 0.5 * (   delta_hu - (ubar - cbar) * delta_h ) / cbar
aux_global should contain:
  • g - (float) Gravitational constant
  • efix - (bool) Boolean as to whether a entropy fix should be used, if not present, false is assumed
Version :1.0 (2009-02-05)